你敢相信吗?三恩时TS7600分光测色仪在医学领域也大有可为!在探索皮肤颜色与晕动症严重程度相关性方面,它提供了关键的技术支持,一起来看看吧!

引用出处:https://doi.org/10.3389/fneur.2022.824670
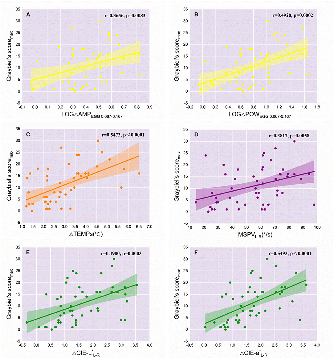
晕动病(Motion Sickness, MS)的评估长期依赖主观量表,存在个体差异大、一致性不足的局限。
第四军事医科大学和延安大学的医学研究团队发表了一篇原创性研究文章——《Multi-Dimensional and Objective Assessment of Motion Sickness Susceptibility Based on Machine Learning》,被收录于国际顶级期刊《Frontiers in Neurology》。

该研究通过整合多维度生理参数,结合机器学习算法,构建了客观的MS易感性评估模型,为改进现有的易感性评估方法提供了参考。

在研究过程中,使用三恩时TS7600分光测色仪,系统测量了脸颊皮肤颜色的L*a*b*值,并利用左右脸颊测量的平均值(CIE-L*L−R,CIE-a*L−R)进行分析。
在此,特别感谢第四军事医科大学和延安大学的医学研究团队对三恩时的支持与信赖!我们将持续优化产品性能,为医学前沿探索贡献专业力量!
该研究的突破性在于,是首次通过客观测量肤色来评估MS的严重程度。三恩时TS7600便携式色差仪作为关键工具,为模型提供了可靠的客观数据支持。
1客观量化肤色
TS7600采用CIE-L*a*b*国际标准颜色系统,通过测量皮肤表面的L*值(明度)和a*值(红绿度),将人眼主观感知的“脸色苍白”转化为可量化的数字指标:
L*值上升代表肤色亮度增加
a*值下降反映红色成分减少

2高精度测量数据
TS7600重复性精度ΔE≤0.03,台间差ΔE≤0.15,确保了数据的准确性和可重复性,消除了人眼观察因光线、个体差异等带来的误差,为后续的统计学分析和机器学习建模提供了可靠的数据基础。

3多维评估模型
TS7600的测量数据与其他生理参数(如胃电活动、皮肤温度、眼震等)共同构成机器学习模型的数据特征。
1 推动MS评估标准化
TS7600的便携设计便于在实验室外(如驾驶舱、船舱)快速采集肤色数据,为现场MS筛查提供可能。
2互补其他生理参数
肤色变化与胃电活动、皮肤温度等参数形成交叉验证,可以增强模型准确性。
3 行业应用潜力
结合TS7600的客观数据,可针对飞行员、宇航员等高风险职业开发MS易感性筛查标准,辅助人员选拔与岗位分配。
科学知识分享——晕动病
晕动病(Motion Sickness, MS),又称为运动病、晕车病、晕船病、晕机病、宇宙晕动病等,是多种因素导致人体对运动状态错误感知的一系列生理反应。
严重时可出现重度头晕、呕吐不止、恶心、心慌、胸闷、四肢冰凉、脱水、呼吸困难、反应迟钝、濒死感、昏迷等表现。